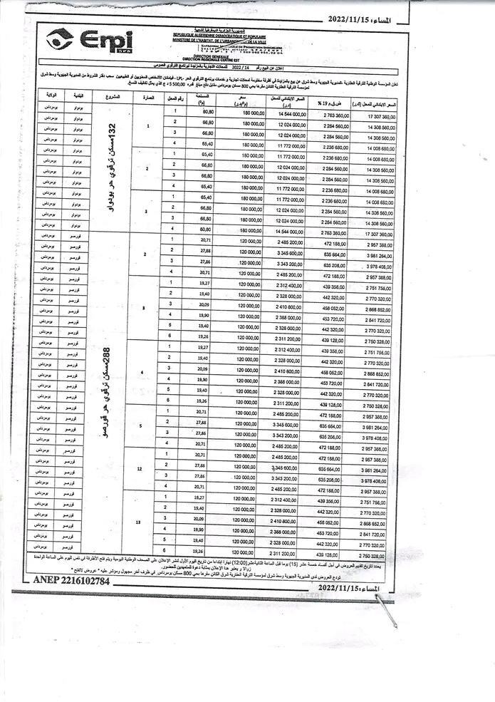
تعلن المؤسسة الوطنية للترقية العقارية عن بيع بالمزايدة في اظرفة مختومة محلات تجارية وخدمات البرنامج الترقوي الحر.
فبإمكان الأشخاص المعنويين او الطبيعيين سحب دفتر الشروط من المديرية الجهوية وسط شرق للمؤسسة الوطنية للترقية العقارية
مقابل دفع مبلغ قدره 5500.00دج الذي يمثل تكاليف النسخ .
المحلات التجارية المعنية للبيع في كل من المواقع السكنية لولاية بومرداس
- 132 مسكن ترقوي حر بودواو
- 288 مسكن ترقوي حر قورصو
- يحدد تاريخ تقديم العروض في أجل أقصاه خمسة عشر (15) يوما قبل الساعة 12:00 نهارا ابتداء من تاريخ اليوم الأول لنشر الإعلان على الصحف الوطنية اليومية ويتم فتح الأظرفة في نفس اليوم على الساعة الواحدة زوالا ويعتبر هذا الإعلان بمثابة دعوة للمتعهدين بالحضور.
 
 
 
 
 
 
 
 


إرسال تعليق
عزيزى الزائر بمجرد الضغط على اعلامى اسفل نموذج الرد فسيتم اعلامك باخر ردود المشاركة
تذكر قول الله تعالى (( مَا يَلْفِظُ مِنْ قَوْلٍ إِلَّا لَدَيْهِ رَقِيبٌ عَتِيدٌ ))