تعلن الوكالة الوطنية لتحسين السكن و تطويره عدل ، إلى علم المواطنين المهتمين بشراء محلات تجارية ، المنجزة في اطار برنامج البيع بالإيجار لولاية وهران ، أنها تعرض بالمزايدة و بالتعهدات المختومة
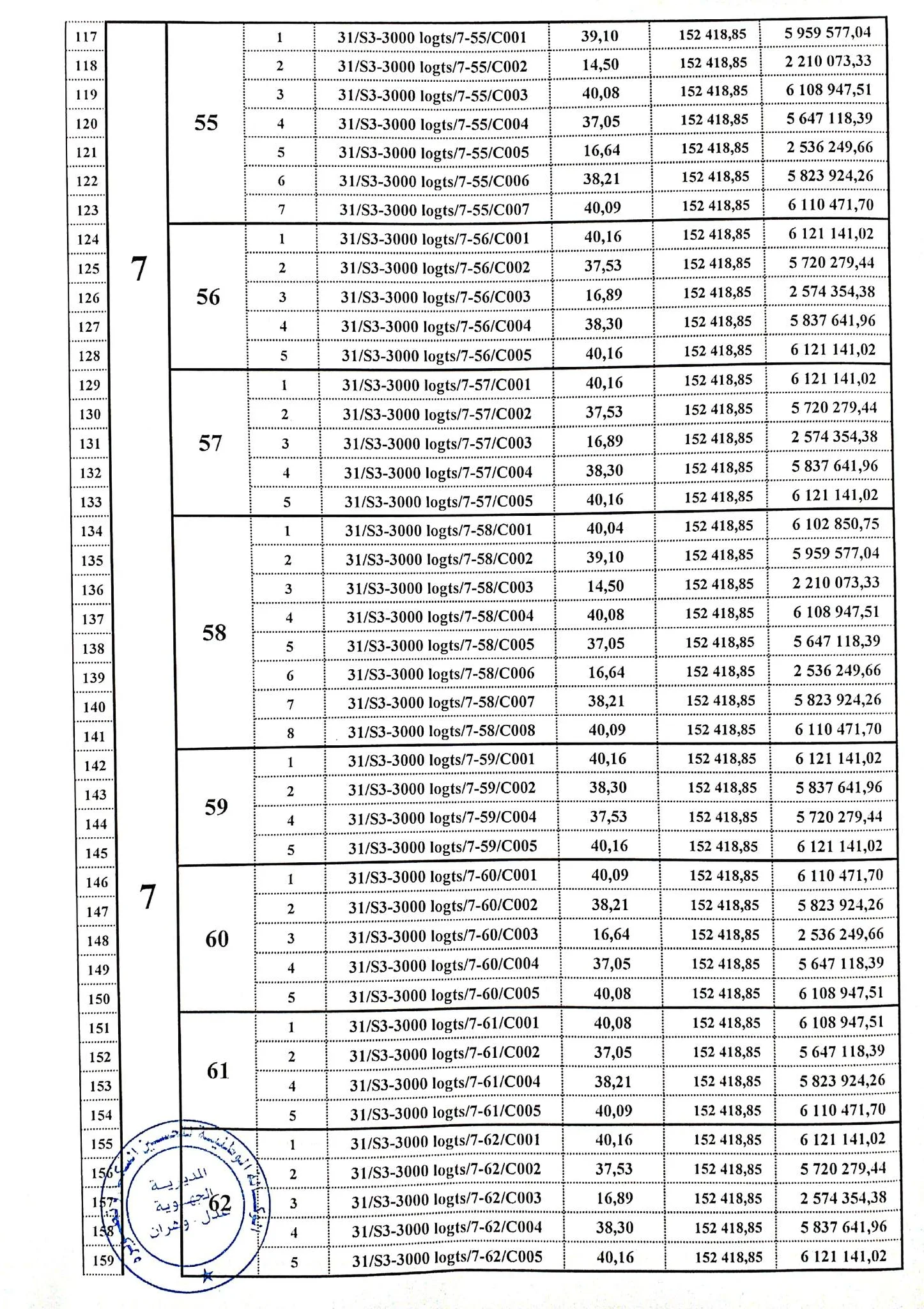
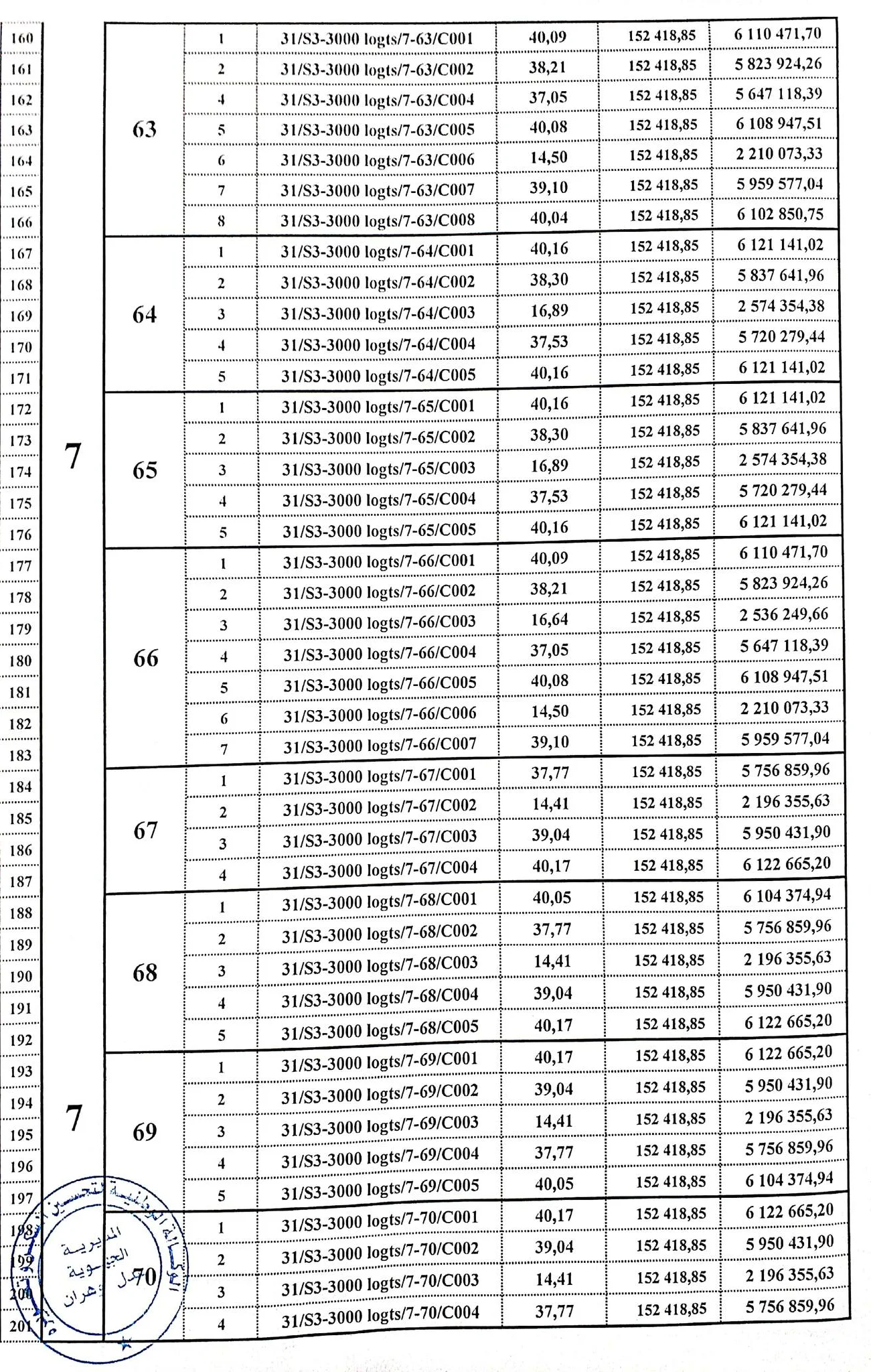
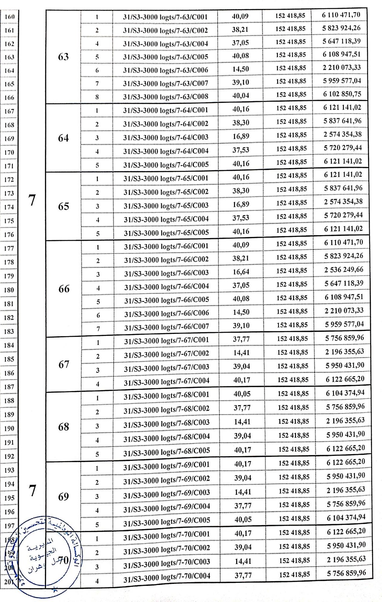
440 محل ذا استعمال تجاري بحي 3000 مسكن بيع بالايجار موقع03 بلدية عين مسرغين – ولاية وهران .
كما تؤكد الوكالة أنه بإمكان المواطنين الراغبين في المشاركة في البيع بالمزايدة الاطلاع على مضمون الإعلان الصادر اليوم18 جانفي 2023 بجريدة "compétition"
و بإمكان أي شخص طبيعي أو معنوي راغب في المشاركة في هذه المزايدة التوجه إلى مقر المديرية الجهوية لوكالة - عدل وهران - حي 1377 سكن عدل عمارة رقم 23 - بئر الجير - وهران . لسحب دفتر الشروط، وحدد آخر أجل لسحبه بـ 15 يوم ابتداء من تاريخ أول صدور لهذا الإعلان على الساعة 12:00 ، أما عن أخر اجل لإيداع العروض فحدد باليوم 15من تاريخ اول صدور لهذا الإعلان على الساعة 12:00 زوالا و يودع دفتر المذكور اعلاه أما عن فتح الأظرف فسيكون في جلسة علنية في نفس المقر ، وذلك في اليوم الموافق لتاريخ النهائي لإيداع العروض على الساعة 14:00 .
و لمزيد من المعلومات التقرب من المصلحة التجارية للمديرية الجهوية عدل وهران












إرسال تعليق
عزيزى الزائر بمجرد الضغط على اعلامى اسفل نموذج الرد فسيتم اعلامك باخر ردود المشاركة
تذكر قول الله تعالى (( مَا يَلْفِظُ مِنْ قَوْلٍ إِلَّا لَدَيْهِ رَقِيبٌ عَتِيدٌ ))