تعلن الوكالة الوطنية لتحسين السكن و تطويره عدل ، إلى علم المواطنين المهتمين بشراء محلات تجارية ، المنجزة في اطار برنامج البيع بالإيجار لولاية الجزائر،أنها تعرض بالمزايدة و بالتعهدات المختومة.
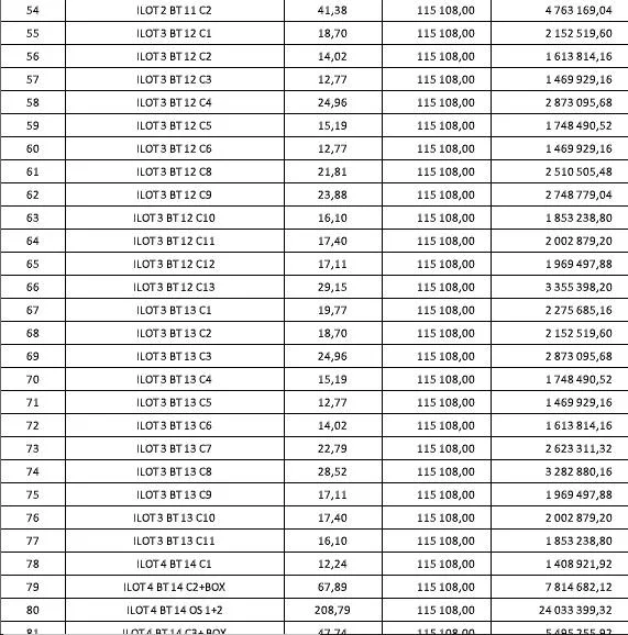
191 محل ذا استعمال تجاري وخدماتي المحلات متواجدة بحي 1200 مسكن قطعة 18 سيدي عبدالله ، المحلات تباع كل على حدى.
كما تؤكد الوكالة أنه بإمكان المواطنين الراغبين في المشاركة في البيع بالمزايدة الاطلاع على مضمون الإعلان الصادر يوم 06فيفري2023 بجريدة horizon.
و بإمكان أي شخص طبيعي أو معنوي راغب في المشاركة في هذه المزايدة التوجه إلى مقر المديرية الجهوية الجزائر العاصمة غرب الكائن مقرها بحي 540 مسكن عدل- براكني البليدة- وذلك لسحب دفتر الشروط، وحدد آخر أجل لسحب دفتر الشروط بـ 15 يوم ابتداء من تاريخ أول صدور لهذا الإعلان على الساعة 12:00 أما عن أخر اجل لإيداع العروض فحدد باليوم 15 من تاريخ اول صدور لهذا الإعلان على الساعة 12:00 و يودع دفتر في مقر المديرية الجهوية الجزائر العاصمة غرب ، أما عن فتح الأظرف فسيكون في جلسة علنية في نفس المقر وذلك في اليوم الموافق لتاريخ النهائي لإيداع العروض على الساعة 14:00.
و لمزيد من المعلومات التقرب من المصلحة التجارية للوكالة الوطنية للتحسين السكن و تطويره –المديرية الجهوية الجزائر العاصمة غرب-.







إرسال تعليق
عزيزى الزائر بمجرد الضغط على اعلامى اسفل نموذج الرد فسيتم اعلامك باخر ردود المشاركة
تذكر قول الله تعالى (( مَا يَلْفِظُ مِنْ قَوْلٍ إِلَّا لَدَيْهِ رَقِيبٌ عَتِيدٌ ))