- إعلان عن بيع ل65محل تجاري و خدماتي بولاية بجاية
تعلن الوكالة الوطنية لتحسين السكن و تطويره عدل ، إلى علم المواطنين المهتمين بشراء محلات تجارية ، المنجزة في اطار برنامج البيع بالإيجار لولاية بجاية،أنها تعرض
بالمزايدة و بالتعهدات المختومة ل
22محل ذا استعمال تجاري و43 محل ذا استعمال خدماتي بحي عدل 900 مسكن واد غير ولاية بجاية ، المحلات تباع كل على حدى.
كما تؤكد الوكالة أنه بإمكان المواطنين الراغبين في المشاركة في البيع بالمزايدة الاطلاع على مضمون الإعلان الصادر يوم 08فيفري 2023 بجريدة "المساء"و "horizon" .
و بإمكان أي شخص طبيعي أو معنوي راغب في المشاركة في هذه المزايدة التوجه إلى مقر مديرية المشاريع لوكالة عدل بجاية الكائن مقرها بوكالة عدل طابق رقم 05 المركز الكبير شارع كريم بلقاسم بجاية. وذألك لسحب دفتر الشروط، وحدد آخر أجل لسحب دفتر الشروط بـ 15 يوم ابتداء من تاريخ أول صدور لهذا الإعلان على الساعة 12:00 أما عن أخر اجل لإيداع العروض فحدد باليوم 15 من تاريخ اول صدور لهذا الإعلان على الساعة 12:00 بالمديرية الجهوية الجزائر العاصمة شرق المتواجدة بحي 416 مسكن جسر قسنطينة عين النعجة الجزائر، أما عن فتح الأظرف فسيكون في جلسة علنية في نفس المقر وذلك في اليوم الموافق لتاريخ النهائي لإيداع العروض على الساعة 13:00.
- إعلان عن بيع ل44 محل تجارية لولاية سكيكدة .
تعلن الوكالة الوطنية لتحسين السكن و تطويره عدل ، إلى علم المواطنين المهتمين بشراء محل تجارية وخدماتية ، المنجزة في اطار برنامج البيع بالإيجار لولاية سكيكدة ،أنها تعرض بالمزايدة و بالتعهدات المختومة ل78محل ذا استعمال تجاري و خدماتي بمتواجدة 2800مسكن عدل بوزعرورة ولاية سكيكدة ، المحلات تباع كل على حدى.
كما تؤكد الوكالة أنه بإمكان المواطنين الراغبين في المشاركة في البيع بالمزايدة الاطلاع على مضمون الإعلان الصادر يوم 08 فيفري 2023 بجريدة "akhebar saa"
و بإمكان أي شخص طبيعي أو معنوي راغب في المشاركة في هذه المزايدة التوجه الى مديرية المشاريع عدل سكيكدة الكائن مقرها في حي 300 مسكن مرج الذيب عمارة 01 رقم 01 الطابق الاول-سكيكدة- ، وحدد آخر أجل لسحب دفتر الشروط هواليوم15 محسوب ابتداء من تاريخ أول صدور لهذا الإعلان على الساعة 12:00 أما عن أخر اجل لإيداع العروض فحدد باليوم 15 من تاريخ اول صدور لهذا الإعلان على الساعة 12:00 في مقر مديرية المشاريع عدل سكيكدة ، أما عن فتح الأظرف فسيكون في جلسة علنية في نفس المقر وذلك في اليوم الموافق لتاريخ النهائي لإيداع العروض على الساعة 14:00.
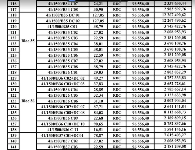
- إعلان عن بيع ل196 محل تجاري في ولاية سوق اهراس
تعلن الوكالة الوطنية لتحسين السكن و تطويره عدل ، إلى علم المواطنين المهتمين بشراء محلات تجارية ، المنجزة في اطار برنامج البيع بالإيجار لولاية سوق اهراس،أنها تعرض بالمزايدة و بالتعهدات المختومة ل196 محل ذا استعمال تجاري ومهني المحلات متواجدة ب1500 مسكن البيع بالإيجار ولاية سوق اهراس، المحلات تباع كل على حدى.
كما تؤكد الوكالة أنه بإمكان المواطنين الراغبين في المشاركة في البيع بالمزايدة الاطلاع على مضمون الإعلان الصادر يوم 08 فيفري 2023
و بإمكان أي شخص طبيعي أو معنوي راغب في المشاركة في هذه المزايدة التوجه إلى مقر مديرية المشاريع عدل سوق اهراس لسحب دفتر الشروط، وحدد آخر أجل لسحبه بـ 15 يوم ابتداء من تاريخ أول صدور لهذا الإعلان على الساعة 12:00 ، أما عن أخر اجل لإيداع العروض فحدد باليوم 15 من تاريخ اول صدور لهذا الإعلان على الساعة 12:00 و يودع دفتر في مقر مديرية المشاريع أما عن فتح الأظرف فسيكون في جلسة علنية في نفس المقر وذلك في اليوم الموافق لتاريخ النهائي لإيداع العروض على الساعة 14:00.
- إعلان عن بيع ل 62محل تجارية في ولاية المسيلة
تعلن الوكالة الوطنية لتحسين السكن و تطويره عدل ، إلى علم المواطنين المهتمين بشراء محلات تجارية ، المنجزة في اطار برنامج 120000 مسكن البيع بالإيجار لولاية المسيلة ،أنها تعرض
62محل ذا استعمال تجاري ومهني للبيع بالتراضي ، المحلات متواجدة بموقع 400 مسكن بوسعادة ولاية المسيلةومحل 01 بحي 1000مسكن المويلحة ولاية المسيلة .
كما تؤكد الوكالة أنه بإمكان المواطنين الراغبين في المشاركة في البيع بالتراضي الاطلاع على مضمون الإعلان الصادر يوم 08فيفري 2023 بجريدة "المساء" .
و بإمكان أي شخص طبيعي أو معنوي راغب في المشاركة في هذه البيعة ، تقديم طلب خطي على مستوى المصلحة التجارية للمديرية المشاريع عدل المسيلة الكائن مقرها بحي الباطن طريق الجزائر العاصمة بوسعادة ، كما يجب ان يكون الطلب الخطي واضح و يحمل رقم المحل و مساحته اضافة الى السعر و يحتوي على جميع المعلومات الخاصة بالمعني (الاسم ، اللقب و رقم الهاتف و العنوان)
و لمزيد من المعلومات التقرب من المصلحة التجارية لمديرية المشاريع -عدل

















إرسال تعليق
عزيزى الزائر بمجرد الضغط على اعلامى اسفل نموذج الرد فسيتم اعلامك باخر ردود المشاركة
تذكر قول الله تعالى (( مَا يَلْفِظُ مِنْ قَوْلٍ إِلَّا لَدَيْهِ رَقِيبٌ عَتِيدٌ ))