تعلن الوكالة الوطنية لتحسين السكن و تطويره عدل ،الى علم المواطنين المهتمين بشراء محلات تجارية ، المنجزة في اطار برنامج البيع بالإيجار لولاية باتنة، انها تعرض بالمزايدة و بالتعهدات المختومة
202 محل ذو استعمال تجاري مع محل مخصص للصيدلة كل على حدى المحلات متواجدة بحي 1000 مسكن بيع بالإيجار pos 38"بارك A فوراج" ولاية باتنة.
كما تؤكد الوكالة أنه بإمكان المواطنين الراغبين في المشاركة في البيع بالمزايدة الاطلاع على مضمون الإعلان الصادر يوم27 فيفري2023 بجريدة "an-Naser"أو التقرب إلى مقر مديرية المشاريع عدل باتنة (حي المنظر الجميل فيلا رقم 09 باتنة) او الى المديرية الجهوية لوكالة عدل سطيف المتواجدة بحي 1014 مسكن سطيف .
و بإمكان أي شخص طبيعي أو معنوي راغب في المشاركة في هذه المزايدة التوجه إلى ذات المديرية المذكور عنوانها أعلاه وحدد آخر أجل لسحب دفتر الشروط بـ 15 يوم إبتداء من تاريخ أول صدور لهذا الإعلان على الساعة 12:00 ، أما عن أخر اجل لإيداع العروض فحدد باليوم 15 من تاريخ اول صدور لهذا الإعلان على الساعة 12:00 في مقر المديرية الجهوية عدل سطيف ، أما عن فتح الأظرف فسيكون في جلسة علنية بنفس المقر وذلك في اليوم الموافق لتاريخ النهائي لإيداع العروض في نفس المكان على 14:00.
و لمزيد من المعلومات التقرب من المصلحة التجارية للمديرية الجهوية سطيف.
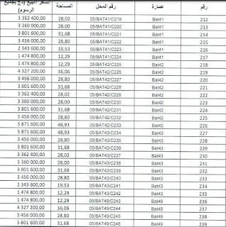
258 محل ذا استعمال تجاري للبيع بالتراضي ، المحلات متواجدة بحي 1600 مسكن واد الشعبة حملة 03 ولاية باتنة .
كما تؤكد الوكالة أنه بإمكان المواطنين الراغبين في المشاركة في البيع بالتراضي الاطلاع على مضمون الإعلان الصادر يوم 28 فيفري 2023 بجريدة "المساء" .
و بإمكان أي شخص طبيعي أو معنوي راغب في المشاركة في هذه البيعة ، تقديم طلب خطي على مستوى المصلحة مديرية المشاريع لولاية باتنة الكائن مقرها بحي المنظر الجميل فيلا 09 باتنة ، كما يجب ان يكون الطلب الخطي واضح و يحمل رقم المحل و مساحته اضافة الى السعر و يحتوي على جميع المعلومات الخاصة بالمعني (الاسم ، اللقب و رقم الهاتف و العنوان)
و لمزيد من المعلومات التقرب من المصلحة التجارية للمديرية المشاريع لولاية باتنة .




















إرسال تعليق
عزيزى الزائر بمجرد الضغط على اعلامى اسفل نموذج الرد فسيتم اعلامك باخر ردود المشاركة
تذكر قول الله تعالى (( مَا يَلْفِظُ مِنْ قَوْلٍ إِلَّا لَدَيْهِ رَقِيبٌ عَتِيدٌ ))