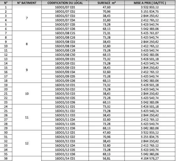
تعلن الوكالة الوطنية لتحسين السكن و تطويره عدل ، إلى علم المواطنين المهتمين بشراء محلات تجارية ، في طور الانجاز بولاية الجزائر أنها تعرض بالمزايدة و بالتعهدات المختومة
206 محلات ذا استعمال تجاري و 15خدماتي بحي 3746 مسكن عدل الدويرة ولاية الجزائر.
كما تؤكد الوكالة أنه بإمكان المواطنين الراغبين في المشاركة في البيع بالمزايدة الاطلاع على مضمون الإعلان الصادر اليوم 26 أفريل 2023 بجريدة "المساء"و "horizon".
و بإمكان أي شخص طبيعي أو معنوي راغب في المشاركة في هذه المزايدة التوجه إلى موقع 416 مسكن عدل عمارة E الطابق الاول جسر قسنطينة -عين النعجة- لسحب دفتر الشروط، وحدد آخر أجل لسحبه بـ 15 يوم ابتداء من تاريخ أول صدور لهذا الإعلان على الساعة 12:00 ، أما عن أخر اجل لإيداع العروض فحدد باليوم 15 من تاريخ اول صدور لهذا الإعلان من الساعة 08:00 الى 12:00 و يودع دفتر في مقر المديرية الجهوية لوكالة عدل الجزائر العاصمة شرق أما عن فتح الأظرف فسيكون في جلسة علنية في نفس المقر ، وذلك في اليوم الموافق لتاريخ النهائي لإيداع العروض على الساعة 13:00.
و لمزيد من المعلومات التقرب من مديرية الجهوية لوكالة عدل الجزائر العاصمة شرق .







إرسال تعليق
عزيزى الزائر بمجرد الضغط على اعلامى اسفل نموذج الرد فسيتم اعلامك باخر ردود المشاركة
تذكر قول الله تعالى (( مَا يَلْفِظُ مِنْ قَوْلٍ إِلَّا لَدَيْهِ رَقِيبٌ عَتِيدٌ ))